| 일 | 월 | 화 | 수 | 목 | 금 | 토 |
|---|---|---|---|---|---|---|
| 1 | 2 | 3 | 4 | |||
| 5 | 6 | 7 | 8 | 9 | 10 | 11 |
| 12 | 13 | 14 | 15 | 16 | 17 | 18 |
| 19 | 20 | 21 | 22 | 23 | 24 | 25 |
| 26 | 27 | 28 | 29 | 30 |
- 엑셀
- 프레임워크와 라이브러리의 차이
- string 메소드
- string 함수
- 매크로
- 장고란
- 구조체와 클래스의 공통점 및 차이점
- vscode
- 자료구조
- 연결요소
- 알고리즘 공부방법
- 표준 입출력
- Django란
- EOF
- UI한글변경
- 백준
- 이분그래프
- k-eta
- getline
- scanf
- Django Nodejs 차이점
- correlation coefficient
- 2557
- 입출력 패턴
- 입/출력
- c++
- iOS14
- double ended queue
- Django의 편의성
- 시간복잡도
- Today
- Total
Storage Gonie
챕터7-1. 트리 | 개념 및 저장방법 본문
트리의 개념
# 트리(Tree)
- 자료구조의 일종으로 '사이클이 없는 그래프'를 Tree 라고 함(이 이유로 임의의 두 정점 사이의 경로는 오직 1개이다)
따라서, 정점의 개수는 V개이고, 간선의 개수는 V-1개 이다.
- 트리는 임의의 두 정점 간의 경로가 오직 1개이기 때문에, BFS를 이용하여 찾아낸 그 경로가 바로 최단거리가 된다.

- 주의할점이 있는데
(True) "Tree" 이면 "정점의 개수는 V개이고, 간선의 개수는 V-1개 이다."
(False) "정점의 개수는 V개이고, 간선의 개수는 V-1개 이다." 이면 "Tree"이다.
그 이유는 아래와 같은경우 정점이 6개이고, 간선이 5개인데 사이클이 있어서 트리라고 볼 수 없는 반례가 존재하기 때문이다.

(True) "정점의 개수는 V개, 간선의 개수는 V-1개 이고, 모든 두 정점에 대해서 경로가 존재한다." 이면 "Tree"
(True) "정점의 개수는 V개, 간선의 개수는 V-1개 이고, 임의의 두 정점 간의 경로는 1개씩 존재한다." 이면 "Tree"
(바로 위의 True는 방향이 없는 것이어야 성립함)
- "총 n개의 도시로 이루어져 있는데, 도로가 n-1개다. 그리고 모든 두 도시 간의 경로가 존재한다." 라고 하면
그 문제는 Tree로 보고 문제를 풀어도 된다.
그래프에서 사용되는 용어
# 루트가 있는 트리(Rooted Tree)
- 트리는 원래 루트가 없기 때문에 루트는 임의대로 정할 수 있음. 루트를 정해준 트리라면 Rooted Tree라고 부름.
- 루트를 정하게 되면 부모, 자식 관계가 형성이 되어 각각을 찾을 수 있게 된다.
- 루트는 1번도 될 수 있고, 5번도 될 수 있고 아무나 될 수 있다.

# 부모(Parent) - 범위는 간선 하나까지만
- 루트부터 아래로 방향을 정할 수 있는데, 그러면 부모와 자식관계가 생긴다.
- 연결된 두 정점에서 둘 중 루트와 가까운 노드가 부모노드가 된다.
- Parent가 존재하지 않으면 그것은 Root이다.
ex) 1은 2, 3의 부모, 2는 4, 5의 부모, 3은 6, 7의 부모
# 자식(Children) - 범위는 간선 하나까지만
- 연결된 두 정점에서 둘 중 루트와 먼 노드가 자식노드가 된다.
ex) 2와 3은 1의 자식, 4와 5는 2의 자식, 6과 7은 3의 자식
# 단말 정점(Leaf Node 또는 Terminal Node)
- 자식이 없는 정점을 의미한다.
ex) 4, 5, 6, 7
# 형제(Sibling)
- 같은 부모를 가지면 형제이다.
ex) 2와 3은 형제, 4와 5는 형제, 6과 7은 형제
# 깊이(Depth)
- 루트에서 부터의 거리(루트의 깊이를 0으로 하는 경우는 0 1 2,,,가 되고 1로 하는 경우는 1 2 3 ,,,이 됨)

# 높이(Height)
- 깊이 중에서 가장 큰 값으로, 루트의 깊이를 어떻게 설정하냐에 따라 위 그림에서 2 또는 3이 될 수 있음.
# 조상(Ancestor), 자손(Descendent) - 범위는 루트를 넘기지 않는 그래프 전체
- p->q로 갈 수 있을 때, p가 q보다 루트에 가까우면
p는 q의 조상,
q는 p의 자손.
주의할 점은 조상과 자손을 구할 때, 아래와 같이 자기 자신도 포함시킨다는 점이다.
ex) 1의 자손은 1, 2, 3, 4, 5, 6, 7
2의 자손은 2, 4, 5
5의 조상은 5, 2, 1
6의 조상은 6, 3, 1
# 이진트리
- 자식을 최대 2개만 가지고 있는 트리
트리를 저장하는 방법
방법1. 트리는 그래프이기 때문에, 그래프의 표현과 같은 방식으로 저장할 수 있다.
트리는 정점이 V개이고, 간선이 V-1개 이기 때문에 인접행렬보다 인접리스트로 저장하는 것이 효율적이다.
----아래는 트리일 경우에만 가능한 방법이고, 방법1은 트리와 그래프에서 공통적으로 사용가능한 방법이다.----
방법2. 트리의 모든 노드는 부모를 하나 또는 0개만 가지기 때문에 부모만 저장하는 방식으로도 저장할 수 있다.
그러나, 이 방식은 어떤 노드의 부모를 찾을 땐 O(1)이지만, 어떤 노드의 자식을 모두 찾을 땐
parent배열을 모두 뒤져야 하기 때문에 거의 O(V)가 걸려서 부모를 찾을 때만 좋은 방법이다.

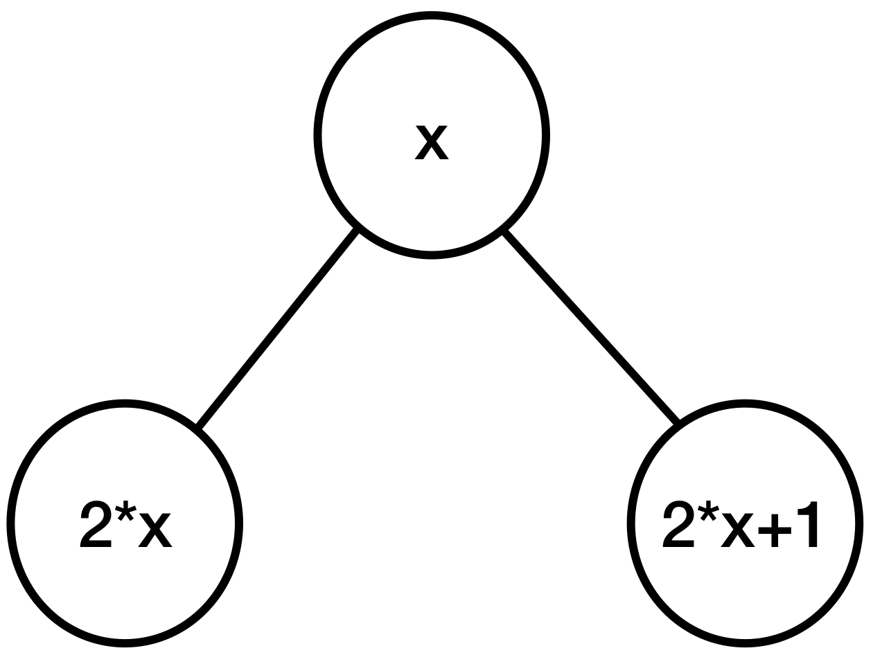
방법3. 이진트리의 경우에는 1차원 배열로 저장할 수 있다.
1차원 배열에서 부모의 노드가 x인 경우에 왼쪽자식은 2*x, 오른쪽 자식은 2*x+1로 하여 각각을
arr[x], arr[2*x], arr[2*x+1]에 저장하면 되는데, 이 방식은 왼쪽 자식 없이 오른쪽 자식만 쭉 있는 경우
저장 공간의 낭비가 심하여 좋은 방법이 아니다.
단, 위에서부터 차례로 채워지는 밸런스 맞는 트리의 경우는 이 방법도 좋은 방법이 된다.


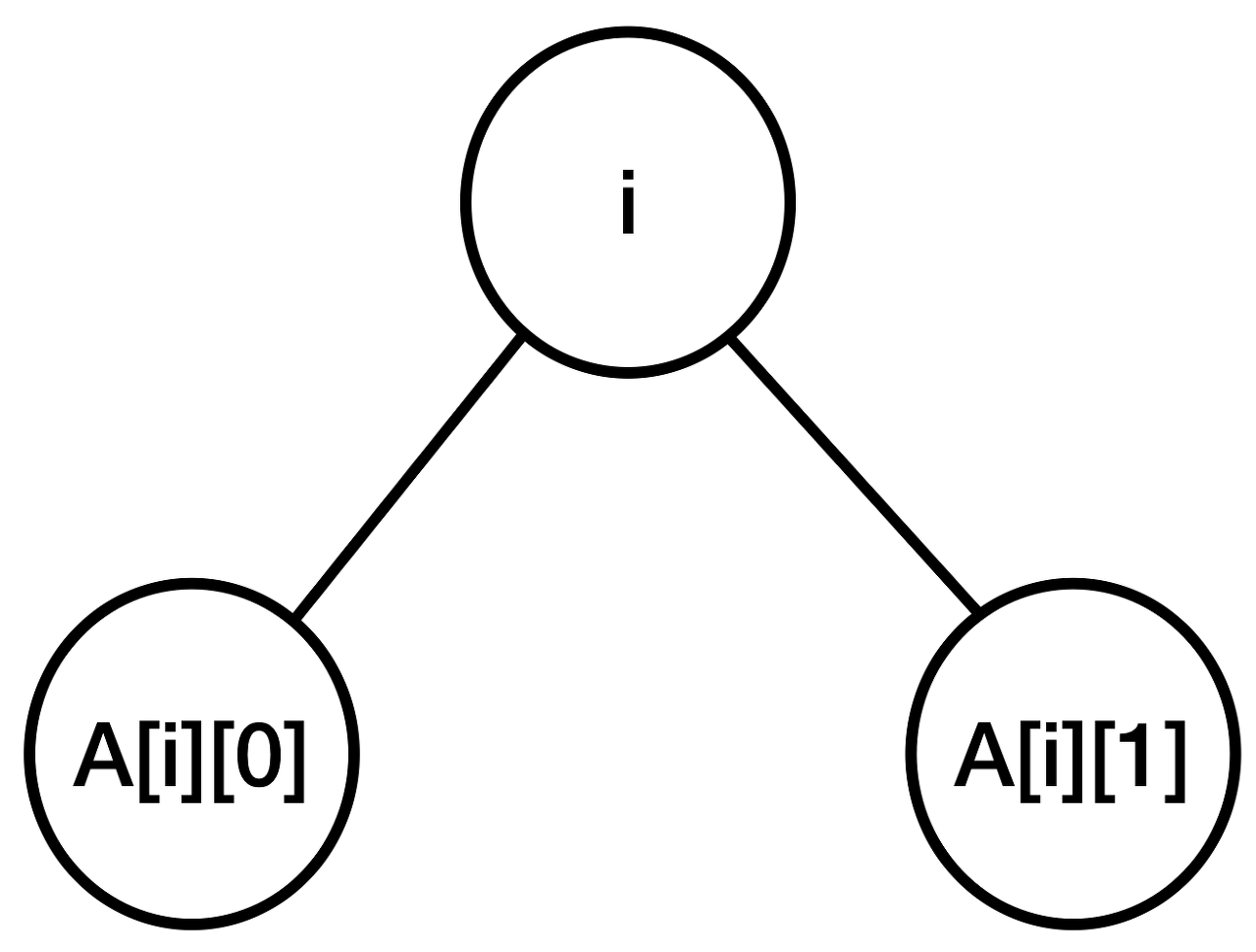
방법4. 이진트리의 경우에는 2차원 배열로 저장할 수 있다.
arr[i][0]에 i의 왼쪽 자식을, arr[i][1]에 i의 오른쪽 자식을 저장하는 방식으로 인접 리스트와 비슷한 방법이나
잘 사용하지는 않는 방식이다. 그러나 앞으로 등장할 트리를 순회하는 문제에서 사용하였음. 나름 간편함.

'알고리즘 > 알고리즘 기초(코드플러스)' 카테고리의 다른 글
| 챕터7-3. 트리 | 문제풀이 (0) | 2019.05.29 |
|---|---|
| 챕터7-2. 트리 | 순회방법(전위, 중위, 후위) (0) | 2019.05.29 |
| 챕터6-5. 그래프 | 문제풀이(2) - 플러드필 알고리즘(DFS, BFS 탐색응용) (0) | 2019.05.29 |
| 챕터6-4. 그래프 | 문제풀이(1) - DFS, BFS 탐색응용 (0) | 2019.05.27 |
| 챕터6-3. 그래프 | 그래프의 탐색(DFS, BFS) (0) | 2019.05.22 |